Financial formulae

Financial Calculation Formulae

Continuously compounded interest on a fixed investment

Where:

F = Future value
P = Initial principle invested
r = Annual percentage interest rate, APR
y = Number of years invested
e = Euler’s number, 2.71828…, the base of the natural logarithm

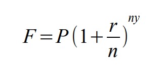
Periodically compounded interest on a fixed investment
Where:

F = Future value
P = Initial principle invested
r = Annual percentage interest rate, APR
n = Number of times compounded per year
y = Number of years invested
r/n = Interest rate per compounding period
ny = Number of times compounded over y years

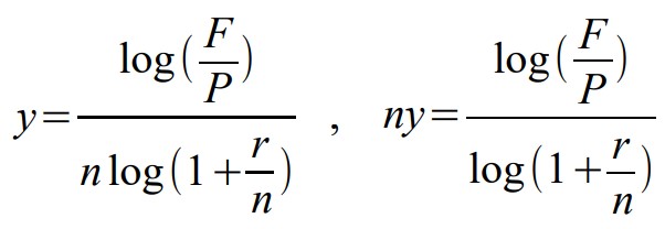
Where:

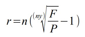
y = the number of years required to achieve a financial goal are interest rate r
ny = the number of compoundings to achieve a financial goal are interest rate r
You must round up to the next compounding to fully achieve the financial goal.
Any base log can be used, as long as you are consistent.

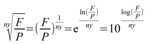
where: r = the interest rate required to achieve a financial goal in y years.

If your calculator does not have and y √ x function, logs may be used as shown above. (Any base log can be used, as long as the log and base are consistent.)

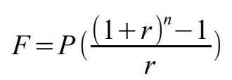
Periodically compounded interest with periodic addition of fixed investments (reverse annuity)
Where:

F = Future value
P = Additional principle invested every compounding period
r = Interest rate per compounding period
n = Number of times compounded

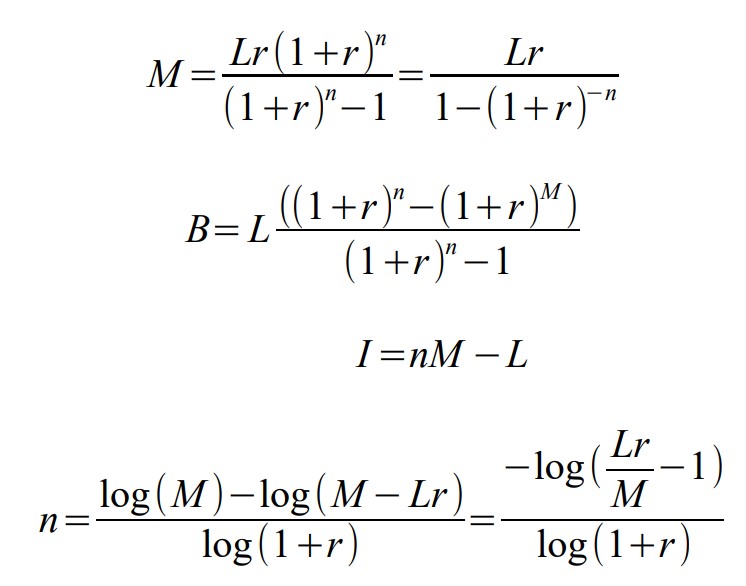
Annuity: Periodically compounded interest with periodic, fixed withdrawls
Where:

I = Initial investment required to receive n payments of M dollars
(a loan made to the bank)
M = Amount of money received from the annuity per period
r = Interest rate per compounding period
n = Number of payments received and times compounded

Loan: Monthly payments, total cost of, and balance due on a loan
Where:

M = The periodic payments to be made
L = Initial principle of loan taken
r = Interest rate per payment and compounding period
n = Number of payments to be made
Mn = Total cost of borrowing L dollars over n payments
B = Balance due after making n payments of M dollars
I = Total interest paid on borrowing L dollars over n payments
n = Number of payments of M dollars to pay off a loan of L dollars at rate r

Approximation for how long it will take in years to pay off a loan of $150,000 dollars at a monthly payment of M dollars (M > $750):

What does capitalization of a loan mean?

Loan capitalization occurs when accrued and unpaid interest is added to the principal. The balance of a loan is made up of two major components: the principal, which is the amount borrowed, and the interest, which accrues regularly on the principal.
When unpaid interest is capitalized, it’s added to the balance of the loan. Capitalized interest makes your loan balance grow larger. As a result, you’re not only borrowing the original loan amount, you’re also borrowing to cover the interest costs. Because of that, you also have to pay interest on the interest your lender charged

Example:

Note:

This is analogous to you putting money in the bank (investing in the bank) and your balance increases as the bank pays you interest. In a capitalized loan, the roles are reversed and the bank is investing in you. The bank expects you to pay back both the initial loan/investment and accrued interest.
In the long term, this is a two part computational problem.

Leave a Reply

Your email address will not be published. Required fields are marked *

Scroll to Top